Posted in

7 Must-Know Algebra Formulas for AMC 8

Introduction

The AMC 8 math contest challenges middle school students with tricky problems that go beyond school textbooks. Algebra alone makes up a big portion of the test—from simple arithmetic identities to sequences and word problems. Therefore, it is important to learn algebra formulas for AMC 8 during the preparation.

In this guide, we’ll walk through 7 must-know AMC 8 algebra formulas, each paired with a real AMC-8 problem, a quick solution, and a “why it matters” tip. By the end, you’ll have a compact AMC 8 algebra formula sheet that’s both practical and contest-ready.


1.      Basic Operations (Distributive, Commutative, Associative)

Formulas:

Basic algebra formulas for AMC 8 including commutative and associative laws of addition and multiplication

Example (AMC 8 2017, Problem 8)

AMC 8 algebra problem example: two-digit house number puzzle with prime, even, divisible by 7, and digit 9 conditions

Why it matters: Long expressions collapse with grouping. Students who don’t see the pattern often waste time adding term by term.


2. Fractions and Ratios

Formulas:

Fraction and ratio formulas for AMC 8 algebra, including addition, multiplication, division of fractions, ratios, and percentage rules

Example (AMC 8 2020, Problem 15):

AMC 8 algebra word problem example: percentage relationship between x and y, solving 15 percent of x equals 20 percent of y

Why it matters: Percent word problems are common. The trick is setting up the correct ratio before calculating.


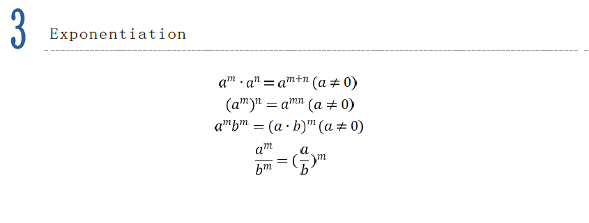
3. Exponents and Quadratics

Formulas:

Exponents formulas for AMC 8 algebra, including product rule, power of a power, power of a product, and power of a quotient

Example (AMC 8 2019, Problem 20):

AMC 8 algebra problem example: quadratic equation solving number of real solutions for (x squared minus 5) squared equals 16

Why it matters: Substitution is a contest lifesaver. Missing the “±” is a classic mistake.


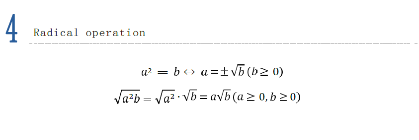
4. Radicals (Nested Roots)

Formula:

Radical operation formulas for AMC 8 algebra, including square root properties and simplifying expressions with radicals

Example (AMC 8 2017, Problem 3):

AMC 8 algebra problem example: nested square root expression with 16, 8, and 4, testing radical simplification skills

Why it matters: Always work inside out. Skipping steps here almost always leads to mistakes.


5. Absolute Value

Formulas:

Absolute value formulas for AMC 8 algebra, including properties of negative, subtraction, multiplication, and division with absolute values

Example (AMC 8 2017, Problem 21):

AMC 8 algebra problem example: absolute value expression with variables a, b, c where a plus b plus c equals zero

Why it matters: Absolute value problems often reduce to sign-case logic.


6. Algebraic Operations (Special Products)

Formulas:

Algebraic operations formulas for AMC 8 algebra, including difference of squares and expansion of binomials

Example (AMC 8 2017, Problem 5):

AMC 8 algebra problem example: evaluate factorial-style product 1 to 8 divided by the sum 1 plus 2 plus ... plus 8

Why it matters: These identities save time when expanding or collapsing large expressions.


7. Arithmetic Sequences

Formulas:

Arithmetic sequence formulas for AMC 8 algebra, including nth term formula, sum of n terms, and common difference calculation

Example (AMC 8 2018, Problem 5):

AMC 8 algebra problem example: alternating sum of odd and even numbers from 1 to 2019 minus 2 to 2018

Why it matters: Count terms carefully—miscounting is the #1 source of errors.


Wrap-Up: Turning Formulas into Points

These 7 sections cover nearly all the algebra you’ll face on AMC 8:

  • Identities and operations
  • Fractions and ratios
  • Exponents and radicals
  • Absolute value logic
  • Sequences and special products
  • Word problems (embedded throughout)

With formulas in hand and practice on real AMC 8 questions, students can solve quickly and confidently.


How Canadian Students Can Prepare

At Think Academy Canada, our AMC 8 programs guide students step by step:

  • Build strong foundations (fractions, equations)
  • Practice past AMC 8 algebra problems under timed conditions
  • Transition smoothly to AMC 10 and Waterloo contests

If you are seeking for more real contest problems from AMC8, feel free to check this article: AMC 8 Real Questions 2025 Paper Analysis: Key Problems and How to Prepare

Book a Free Evaluation today to get started.

Leave a Reply

Your email address will not be published. Required fields are marked *